国微今年会有限公司(股票代码:02239)
国微今年会有限公司
 
 
新闻资讯
当前位置:首页 - 新闻资讯 - 公司新闻 - 2022
分类

国微感知新品推荐:SS-FPS系列柔性薄膜单点压力传感器

发布时间:2022-04-27 文章来源:

压感触控作为人体接触最直接的方式,被不断融入现代化产品,相较于电容式触摸控制,其只有在感受压力值的情况下方能进行操作,可有效避免误触,并且支持多种恶劣输入方式,在戴手套以及湿手的情况下,也能进行操作。

 

根据不同应用场景的使用需求,国微感知基于碳纳米材料,研发设计了SS-FPS系列柔性薄膜单点压力传感器,具备高灵敏度、强柔韧性、低能耗、小巧纤薄等特点,可轻松适应于各种不同类型产品平面或曲面的复杂结构。

 

两种结构,更多应用

为满足不同应用场景的使用需求,国微感知设计了两种结构的单点传感器,分别是FPC(柔性印刷电路板)一体式和“三明治”结构:

SS-FPS-DF04、SS-FPS-DF20为FPC一体式单点压力传感器,由于其电极层采用压延铜材料,具有优异的耐弯折性能。电极铜层上经过镀金处理,并用压敏胶封装,这使得FPC单点压力传感器表现出稳定的压感性能。由于FPC的高蚀刻精度,其轻量化、小型化、薄型化的特点也较为明显。

image.png

SS-FPS-DF04及其电阻曲线

image.png

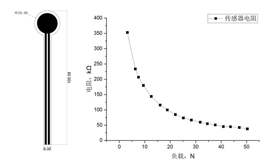
SS-FPS-DF20及其电阻曲线

 

SS-FPS-DS04、SS-FPS-DS20为“三明治”结构单点压力传感器,采用有机材料和高分子材料组成,具有更好的柔性,能更加灵敏地对外加压力进行响应,传感器的线性度也较为突出。

 

image.png

SS-FPS-DS04及其电阻曲线

 

image.png

SS-FPS-DS20及其电阻曲线

 

SS-FPS-DF04、SS-FPS-DS04具备体积小,耐弯折,高灵敏度以及与产品更为贴合的设计等特点,是专为压感笔以及其他小范围压力需求的产品而设计研发。

 

不同的响应曲线的传感器可适用于不同的应用场景,如SS-FPS-DF20电阻压力响应曲线比较陡,适用于智能压力薄膜开关类,反应速度快,输出稳定,而SS-FPS-DS20电阻压力响应曲线比较平滑,线性度好,适用于压力分级较细的应用场景,如压力感知,智能交互,智能穿戴等应用场景。

 

高度定制化

国微感知所研发设计的单点压力传感器可根据客户的不同使用需求进行高度定制,包括传感器外形、传感器量程以及最低响应点等。国微感知致力于智能传感方向产品和解决方案的研究,研发生产的压力传感器,响应速度快、稳定性高、使用寿命长,得到良好的市场反馈,并具有成熟的生产工艺,并可根据不同形态的产品进行高度定制化生产制作。

 

关于国微感知

深圳国微感知技术有限公司是国微集团旗下核心技术公司,专注于提供智能传感方向产品和解决方案。依托集团强大的技术后盾和先进的生产平台,国微感知集合了材料学、光学、电子学、计算机科学、嵌入式技术、人工智能等领域的专业人才,重点布局激光雷达及其他各类型智能传感产品,不断将新技术与市场应用相结合,探索AGV/AMR、服务机器人、智慧交通、智慧物流、体积测量、安全检测等领域,产品已得到多家企业的认可和使用。


文章分享
工作时间(周一到周五)9:00-18:0086-755-61363366
分享
在线咨询

Copyright © 2023 国微今年会有限公司版权所有  粤ICP备15008815号   粤公网安备号 44030502006302

技术支持:易百讯 - 深圳网站建设